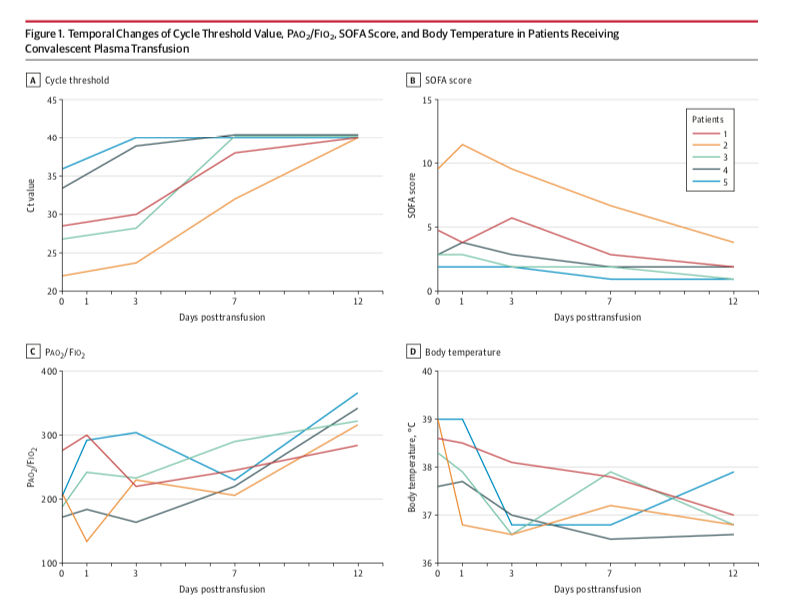
I en fallrapport av Shen et al. från Shenzhen, Kina redovisas utfallet från 5 patienter som erhöll plasma från patienter som genomgått COVID-19-infektion. Läs mer i JAMA:

Lennart Hammarström, seniorprofessor KI, är i uppstartsfasen av en klinisk studie på Karolinska. Här är en populärvetenskaplig sammanfattning han gjorde i TV4 2020.03.30: Lennart Hammarström TV4
Du måste vara inloggad för att kunna skicka en kommentar.