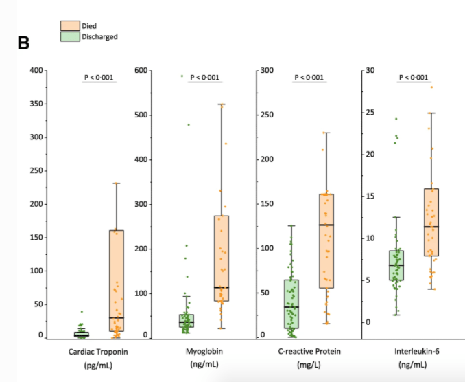
I en retrospektiv observationsstudie från Wuhan jämfördes 68 patienter som avlidit till följd av COVID-19 med 82 patienter som testats positiva för COVID-19 men överlevt och skrivits ut från sjukhuset. Alla patienterna vårdades på sjukhus. 44 % av patienterna som avled hade vårdats på IVA medan 13 % av de överlevande hade det. Studien kommunicerades i ett letter to the editor i Int Care Med 3 mars 2020. Där redovisades följande kliniska karakteristika och utfallsmått:




Ytterligare info om mortalitetsprediktorer hittas också på MDcalc.com
Du måste vara inloggad för att kunna skicka en kommentar.